U prethodnom postu sam pingnuo cijenjeno čitateljstvo da dadne procjenu za jedan jednostavan fizikalni problem koji sam ukratko opisao ovako – koliko bi Saturn V raketa trebalo da se djelovanjem njihovog potiska komet promjera 10 kilometra skrene s putanje koja ga vodi na direktan sudar sa Zemljom?
U samom postu je problem opisan detaljnije, a dani su i parametri te pretpostavke potrebni za izračun rješenja:
Brzina kometa je 10 km/s, i pretpostaviti ćemo (jako netočna pretpostavka!) da će ostati konstantna tijekom cijelog puta komete prema Zemlji (a neće, jer ako je na 3 a.j. 10km/s kad dođe do Zemlje je vjerojatnije da će biti barem 30 km/s)
Pretpostaviti ćemo da je gustoća kometa ista kao i gustoća Zemlje, što znači da komet ima masu od 2,89 x 10^15 kg, odnosno nekih 3 tisuće milijardi tona.
Također ćemo pretpostaviti da se komet prema Zemlji kreće ravnom putanjom, a ne nekim vidom parabole, kako je to u realnosti
Pretpostaviti ćemo da je za transport svih tih Saturna V do kometa potrebno točno polovica vremena koliko kometu treba da stigne do Zemlje – znači, svi ti Saturni V će se moći upaliti kad komet bude na udaljenosti 1,5 a.j. od Zemlje.
Saturn V ima potisak od 34,9 MN u prvom stupnju i 4,9 MN u drugom stupnju – zaokružiti ćemo i pretpostaviti da jedna Saturn V raketa razvija potisak od 40 MN (mega newtona, iliti 4 x 10^7 N)
I to je to … sad vi recite, što mislite koliko bi ih trebalo da se spasi život na Zemlji?
Na Facebook postu gdje sam podijelio link na blog post se razvila živahna diskusija, a vrlo brzo je ekipa uočila da nisu zadani svi potrebni parametri 😎 za rješavanje problema.
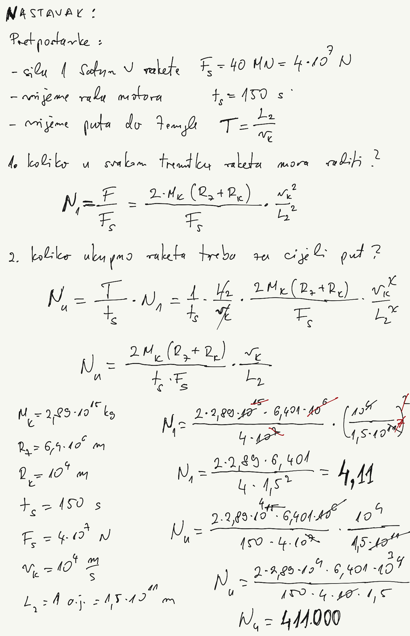
Prva zvijezda stoga ide Predragu Laziću koji je prvi ispravno uočio da sam propustio jednu elementarnu činjenicu – naime, Saturn V raketa ima ograničeno gorivo i sasvim je sigurno da ne može raditi, ie. potiskivati komet, cijelim njegovim putem do Zemlje.
“Zvone, koji si ti amater”
Well, priča je malo složenija. Doista, u prvoj iteraciji smišljanja zadatka, tu činjenicu sam potpuno zanemario, čak i izračunao rješenje … i onda mi se broj koji sam dobio učinio nemoguće mali, i čim sam razmislio u čemu bi mogao biti problem … aaaaaa, motori Saturna V, sa “punim rezervoarom” rade samo 150 sekundi!!!
No, druga zvijezda ovdje svakako ide Domagoju Jakoboviću, koji je prvi riješio taj “netočno postavljen” problem (ie. situaciju u kojoj Saturn V ima neograničeno gorivo), i taj broj je u stvari dosta mali 😂
Ispadne da bi bilo dovoljno 4,11 Saturna V, dakle samo pet raketa kakvih smo poslali na Mjesec!!!
No, taj rezultat je samo od teoretskog značenja, i nije u duhu zadatka koji kristalno jasno kaže da transportiramo do komete prave Saturn V rakete, i postavlja pitanje koliko bi takvih pravih raketa trebalo transportirati da se obavi zadatak i spasi život na Zemlji.
A konačan odgovor na to pitanje je – 411.000 Saturna V 🙄😎😂
Ono što me malo brine je što je nekakav konsenzus u komentarima bio 205.500 raketa, što je točno polovica od mog broja, pa je lako moguće da sam negdje zaboravio neku dvojku … no, meni se nekako ipak čini da u mom računu nema greške? 🤔

