Dvije godine nakon objave verzije 1.0 ... it is done! Gotovo! Al' ono stvarno gotovo, završeno, to je to 😎💪. I scena koja se vraća - godina je 1999-ta, ja mladi nadobudni znanstveni novak na Zavodu za primijenjenu matematiku - Grupa računarstvo, koji je još upisao i paralelni studij fizike na PMFu i žonglira nastavne … Continue reading MML – Minimal Math Library, release 1.2
Oznaka: Fizika
“Exploring Physics with C++”, verzija 0.5 – i konačno FIZIKA! 😎❤️
Bio je to pravi "Death March" zadnja četiri tjedna 🙄, ali dva mjeseca nakon verzije 0.4, evo konačno i nove verzije moje knjige "Exploring Physics with C++" (link na Github repo s PDF-ovima i kôdom). U prve tri verzije su razrađene osnove, u verziji 0.4 su (koliko-toliko) dovršeni vizualizatori da se rezultati mogu prikazati, a … Continue reading “Exploring Physics with C++”, verzija 0.5 – i konačno FIZIKA! 😎❤️
“Exploring Physics with C++”, verzija 0.4 – i konačno lipe slike 😎💪
Malo se odužio rad na novoj verziji knjige, nagrnule su obaveze što u vrtu, što u praćenju nogometa, ali evo konačno sam to priveo kraju, i sto osamdeset i jednu stranicu knjige u ovoj draft verziji, zajedno sa svim popratnim source kôdom možete naći na Github repozitoriju knjige https://github.com/zvanjak/ExploringPhysicsWithCpp. Ono najvažnije ... vizualizatori su konačno … Continue reading “Exploring Physics with C++”, verzija 0.4 – i konačno lipe slike 😎💪
“Exploring Physics with C++”, verzija 0.3
S malim zakašnjenjem u odnosu na plan (al' bilo je velikih nogometnih uzbuđenja zadnjih par tjedana 😎), konačno evo i treće verzije knjige koju pišem, "Exploring Physics with C++". U novih 30ak stranica (sad je count na 153), glavni fokus je bio na početnim poglavljima, i iako tu ima još stvarno puno (opisnog) teksta za … Continue reading “Exploring Physics with C++”, verzija 0.3
San ide dalje – “Exploring Physics with C++”, ver. 0.2 😎
Iznenadili su me, dirnuli i silno razveselili pozitivni komentari na početnu verziju knjige koju sam odlučio napisati, pri čemu sam ponajviše bio iznenađen s pet zvjezdica koje je prikupio Github repozitorij s kôdom, a koji je u vrijeme te inicijalne objave bio kriminalno neažuran 🤣. Nakon takve količine ljubavi ❤️🤗, motivacija je bila "do neba", … Continue reading San ide dalje – “Exploring Physics with C++”, ver. 0.2 😎
Working on a dream ❤️
Kad, ako ne sad? Pedeseti rođendan je sa završetkom moje šestogodišnje londonske avanture s Cloudhouseom 🤗 donio priliku za dubinsku introspekciju što i kako dalje u životu, i razmišljajući o vremenu koje sam posvetio razvoju mog MML-a i koliko me općenito fascinira fizika i mogućnosti numeričkog simuliranja raznih pojava iz svijeta koji nas okružuje, u … Continue reading Working on a dream ❤️
MML – Minimal Math Library – release 1.0
Konačno gotovo 😎. Vektori, matrice, tenzori, polinomi, pravci, krivulje, ravnine, površine, funkcije realne, skalarne, vektorske s pripadnim derivacijama, interpolirane funkcije, integratori realnih, 2D i 3D skalarnih funkcija, line(path) i general surface integratori, solveri za linearne i ODE sisteme, root finding algoritmi te ugrađeni skup koordinatnih transformacija s mogućnošću kovarijantnih i kontravarijantnih transformacija vektora i tenzora. … Continue reading MML – Minimal Math Library – release 1.0
MML – Minimal Math Library, release 0.5 😎
Čudan je osjećaj približiti se realizaciji nečega o čemu sanjaš već 25 godina. Iz sjećanja mi je pobjegao trenutak kad sam kupio "Numerical Recipes in C" knjigu u zagrebačkom Algoritmu u Gajevoj, u podrumu Hotela Dubrovnik negdje 1997. godine, ali se dobro sjećam prekucavanja potrebnih algoritama za realizaciju mog diplomskog rada na FERu. Vjerojatno nije … Continue reading MML – Minimal Math Library, release 0.5 😎
Reset 😥
Nakon četiri dana ne baš tako laganog psihičkog rastrojstva 🙄, uzrokovanog podizanjem svog mulja i taloga hrvatskog društva nakon smrti Vladimira Matijanića, ipak sam našao snage za reset ... koliko se čovjek uopće može resetirati nakon svjedočenja ovoga što se desilo Vladimiru 😥. "Events, dear boy, events", kako je to savršeno rekao britanski premijer Harrold … Continue reading Reset 😥
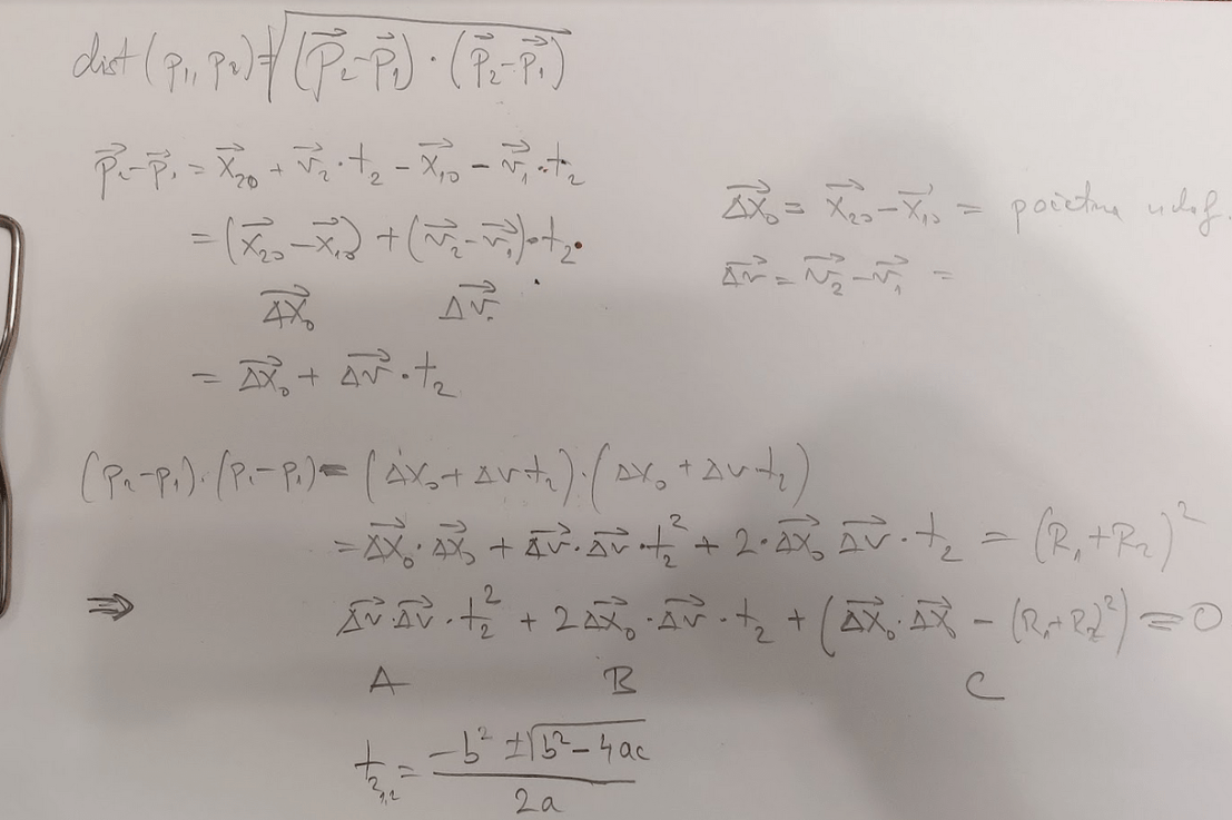
CollisionSimulator … riješen 😎
Petak je navečer, skoro ponoć, iz tulumare dolaze zvuci muzike i urnebesnog smijeha dok ekipa slavi Luanin rođendan, ali ... sve maloljetnici, treba ih malo "pripaziti", znači, trebati će biti budan još uru dvi ... što da se radi? Jedini logičan odgovor - uzeti olovku u ruke i riješiti (eksplicitno!) jednadžbe za nalaženje točke sudara … Continue reading CollisionSimulator … riješen 😎







